Skip to main content
Peptides
18. Amino Acids and Proteins / Peptides / Problem 3
Problem 3

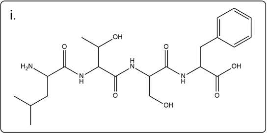
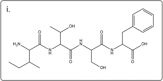
i. Show the line-angle structure for isoleucylthreonylserinylphenylalanine.
ii. Provide its three-letter abbreviation
iii. Provide its one-letter abbreviation.
(Ignore stereochemistry)