Skip to main content
GOB Chemistry
My Course
Learn
Exam Prep
AI Tutor
Study Guides
Textbook Solutions
Flashcards
Explore
My Course
Learn
Exam Prep
AI Tutor
Study Guides
Textbook Solutions
Flashcards
Explore
Back
Peptides
Download worksheet
Problem 1
Problem 2
Problem 3
Problem 4
Problem 5
Problem 6
Problem 7
Peptides
Download worksheet
Practice
Summary
Previous
4 of 7
Next
18. Amino Acids and Proteins / Peptides / Problem 4
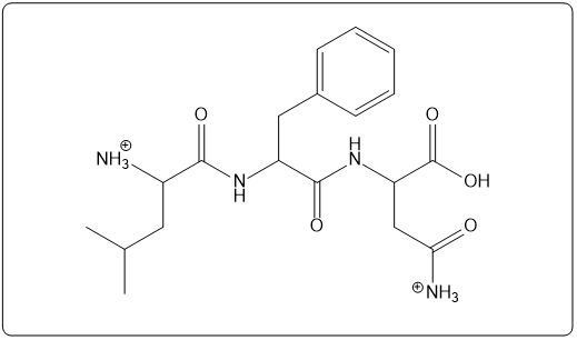
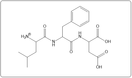
Problem 4
Draw the structure for the peptide Lys–Phe–Asp and write the one-letter abbreviation. (Ignore stereochemistry)
A
LPA
B
KFD
C
KPA
D
LFA
AI tutor
0
0 Comments
Show Answer
More options