Skip to main content
GOB Chemistry
My Course
Learn
Exam Prep
AI Tutor
Study Guides
Textbook Solutions
Flashcards
Explore
My Course
Learn
Exam Prep
AI Tutor
Study Guides
Textbook Solutions
Flashcards
Explore
Back
Disaccharides
Download worksheet
Problem 1
Problem 2
Problem 3
Problem 4
Problem 5
Problem 6
Problem 7
Disaccharides
Download worksheet
Practice
Summary
Previous
6 of 7
Next
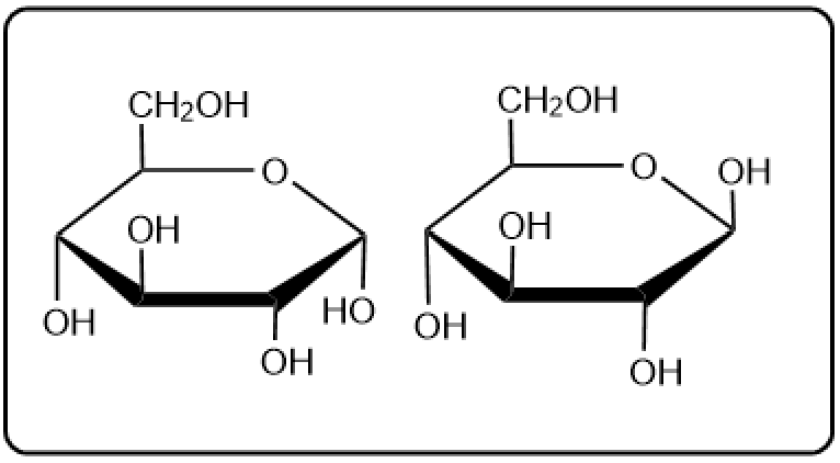
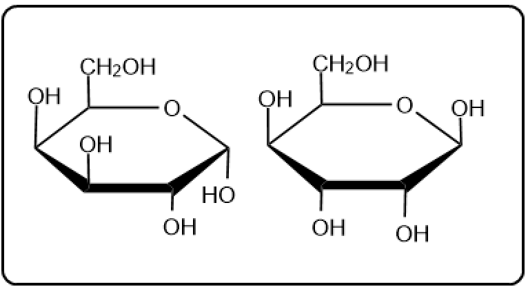
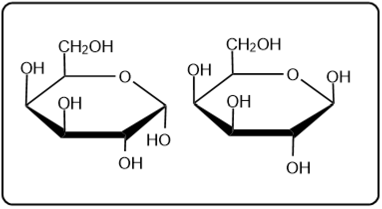
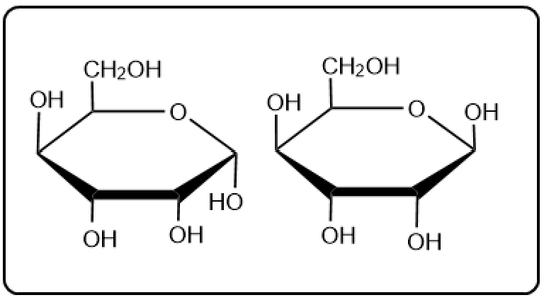
20. Carbohydrates / Disaccharides / Problem 6
Problem 6
Identify the reaction below as condensation or hydrolysis, and draw the expected products.
A
Condensation
B
Hydrolysis
C
Condensation
D
Hydrolysis
AI tutor
0
0 Comments
Show Answer
More options