Skip to main content
GOB Chemistry
My Course
Learn
Exam Prep
AI Tutor
Study Guides
Textbook Solutions
Flashcards
Explore
My Course
Learn
Exam Prep
AI Tutor
Study Guides
Textbook Solutions
Flashcards
Explore
Back
Disaccharides
Download worksheet
Problem 1
Problem 2
Problem 3
Problem 4
Problem 5
Problem 6
Problem 7
Disaccharides
Download worksheet
Practice
Summary
Previous
3 of 7
Next
20. Carbohydrates / Disaccharides / Problem 3
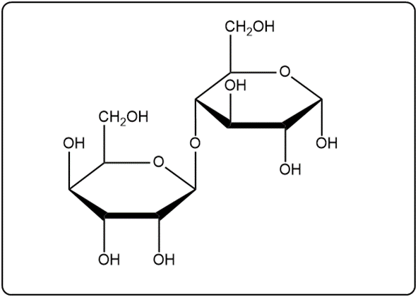
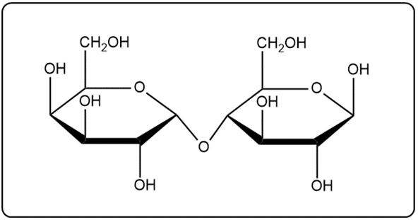
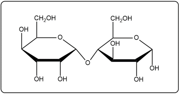
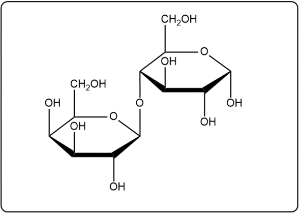
Problem 3
Draw the Haworth structure for a hypothetical disaccharide that is quite similar to β-lactose except it has an α(1→4)−glycosidic bond.
A
B
C
D
AI tutor
0
0 Comments
Show Answer
More options