Skip to main content
GOB Chemistry
My Course
Learn
Exam Prep
AI Tutor
Study Guides
Textbook Solutions
Flashcards
Explore
My Course
Learn
Exam Prep
AI Tutor
Study Guides
Textbook Solutions
Flashcards
Explore
Back
26. Nucleic Acids and Protein Synthesis - Part 1 of 3!
Download worksheet
Problem 1
Problem 2
Problem 3
Problem 4
Problem 5
Problem 6
Problem 7
Problem 8
Problem 9
Problem 10
Problem 11
Problem 12
Problem 13
26. Nucleic Acids and Protein Synthesis - Part 1 of 3!
Download worksheet
Practice
Summary
Previous
6 of 13
Next
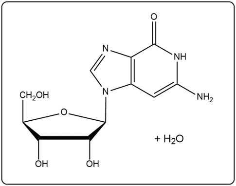
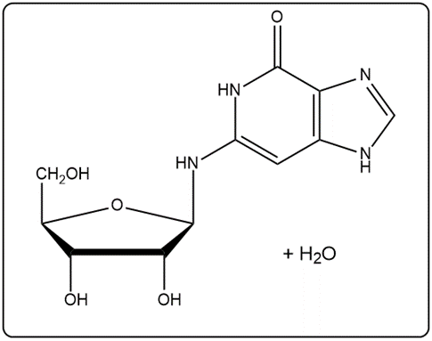
26. Nucleic Acids and Protein Synthesis / Nucleoside and Nucleotide Formation / Problem 6
Problem 6
Draw the products of the reaction below:
A
B
C
D
AI tutor
0
0 Comments
Show Answer
More options