Skip to main content
GOB Chemistry
My Course
Learn
Exam Prep
AI Tutor
Study Guides
Textbook Solutions
Flashcards
Explore
My Course
Learn
Exam Prep
AI Tutor
Study Guides
Textbook Solutions
Flashcards
Explore
Back
26. Nucleic Acids and Protein Synthesis - Part 1 of 3!
Download worksheet
Problem 1
Problem 2
Problem 3
Problem 4
Problem 5
Problem 6
Problem 7
Problem 8
Problem 9
Problem 10
Problem 11
Problem 12
Problem 13
26. Nucleic Acids and Protein Synthesis - Part 1 of 3!
Download worksheet
Practice
Summary
Previous
8 of 13
Next
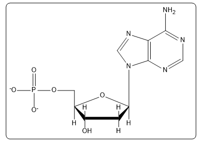
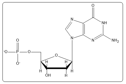
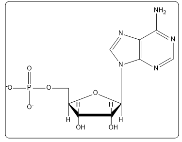
26. Nucleic Acids and Protein Synthesis / Naming Nucleosides and Nucleotides / Problem 8
Problem 8
Adenosine 5'-phosphate is a key ribonucleotide. Which of the following structures accurately represents this nucleotide?
A
B
C
D
AI tutor
0
0 Comments
Show Answer
More options