Skip to main content
GOB Chemistry
My Course
Learn
Exam Prep
AI Tutor
Study Guides
Textbook Solutions
Flashcards
Explore
My Course
Learn
Exam Prep
AI Tutor
Study Guides
Textbook Solutions
Flashcards
Explore
Back
20. Carbohydrates - Part 2 of 3!
Download worksheet
Problem 1
Problem 2
Problem 3
Problem 4
Problem 5
Problem 6
Problem 7
Problem 8
Problem 9
Problem 10
Problem 11
20. Carbohydrates - Part 2 of 3!
Download worksheet
Practice
Summary
Previous
7 of 11
Next
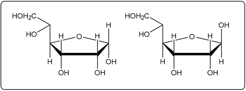
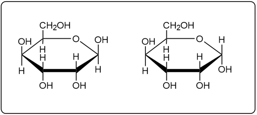
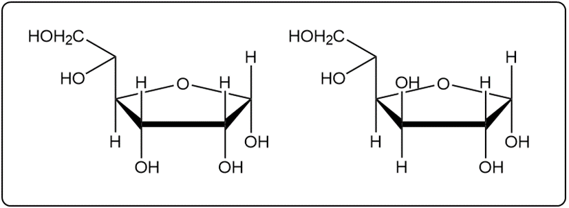
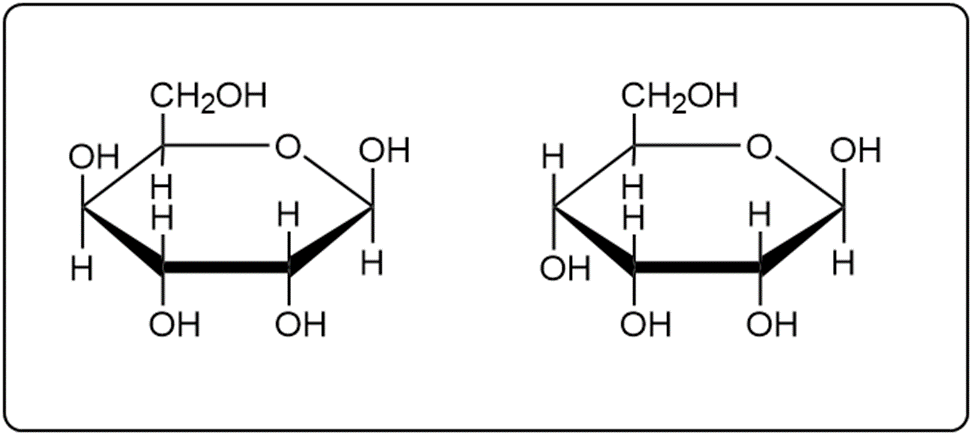
20. Carbohydrates / Cyclic Structures of Monosaccharides / Problem 7
Problem 7
Provide the structure of both anomers of the monosaccharide shown below in pyranose ring form.
A
B
C
D
AI tutor
0
0 Comments
Show Answer
More options