Skip to main content
GOB Chemistry
My Course
Learn
Exam Prep
AI Tutor
Study Guides
Textbook Solutions
Flashcards
Explore
My Course
Learn
Exam Prep
AI Tutor
Study Guides
Textbook Solutions
Flashcards
Explore
Back
20. Carbohydrates - Part 2 of 3!
Download worksheet
Problem 1
Problem 2
Problem 3
Problem 4
Problem 5
Problem 6
Problem 7
Problem 8
Problem 9
Problem 10
Problem 11
20. Carbohydrates - Part 2 of 3!
Download worksheet
Practice
Summary
Previous
6 of 11
Next
20. Carbohydrates / Cyclic Structures of Monosaccharides / Problem 6
Problem 6
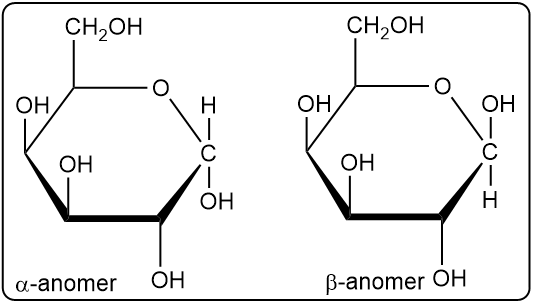
D-glucose is a monosaccharide found in many fruits. Draw D-glucose in its cyclic hemiacetal form. [Both
α
and
β
anomers]
A
B
C
D
AI tutor
0
0 Comments
Show Answer
More options