Skip to main content
GOB Chemistry
My Course
Learn
Exam Prep
AI Tutor
Study Guides
Textbook Solutions
Flashcards
Explore
My Course
Learn
Exam Prep
AI Tutor
Study Guides
Textbook Solutions
Flashcards
Explore
Back
Triacylglycerols
Download worksheet
Problem 1
Problem 2
Problem 3
Problem 4
Problem 5
Triacylglycerols
Download worksheet
Practice
Summary
Previous
5 of 5
23. Lipids / Triacylglycerols / Problem 5
Problem 5
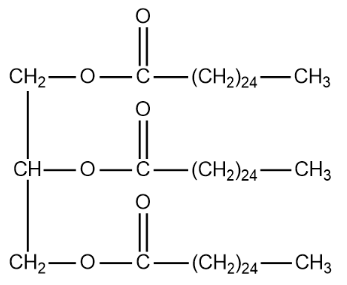
Provide the condensed structural formula of a triacylglycerol consisting of the following components: three lignoceric acid (C24:0) molecules and glycerol.
A
B
C
D
AI tutor
0
0 Comments
Show Answer
More options