Skip to main content
GOB Chemistry
My Course
Learn
Exam Prep
AI Tutor
Study Guides
Textbook Solutions
Flashcards
Explore
My Course
Learn
Exam Prep
AI Tutor
Study Guides
Textbook Solutions
Flashcards
Explore
Back
Triacylglycerol Reactions: Hydrolysis
Download worksheet
Problem 1
Problem 2
Problem 3
Problem 4
Problem 5
Problem 6
Triacylglycerol Reactions: Hydrolysis
Download worksheet
Practice
Summary
Previous
6 of 6
23. Lipids / Triacylglycerol Reactions: Hydrolysis / Problem 6
Problem 6
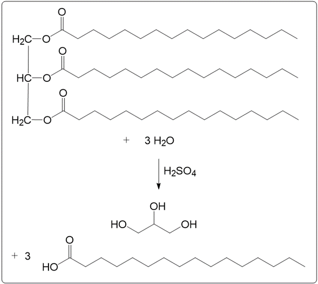
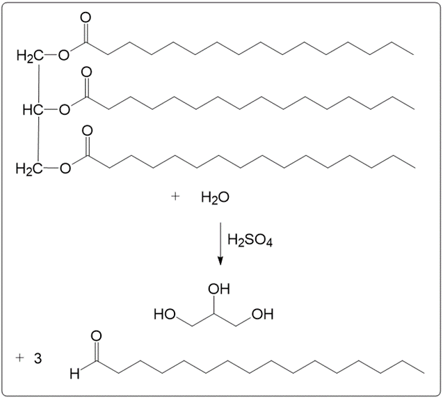
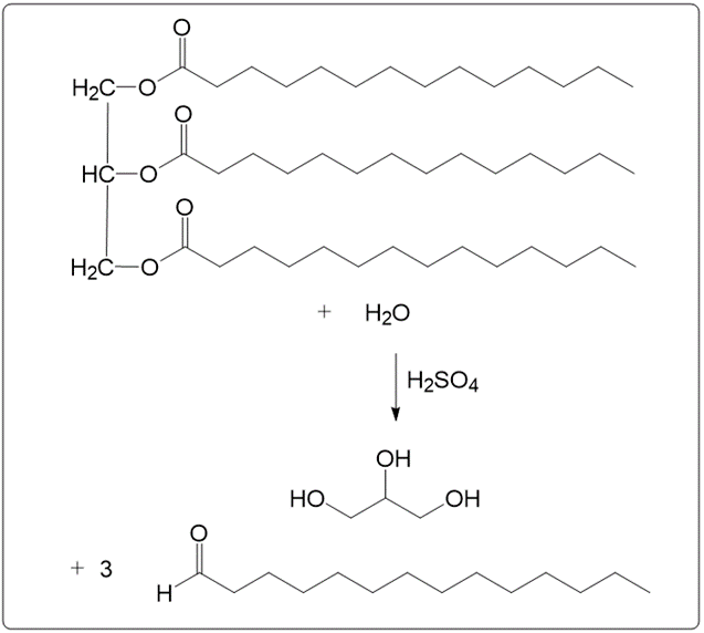
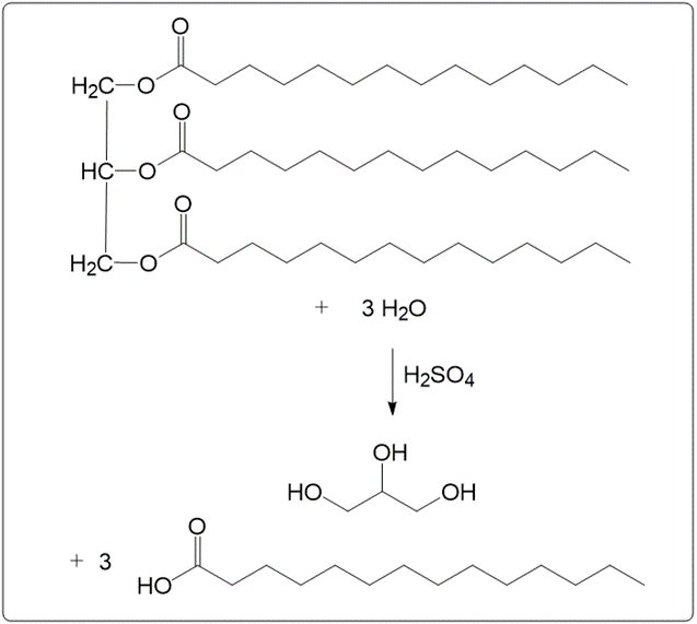
Write the complete reaction for the acid hydrolysis of glyceryl tripalmitate.
A
B
C
D
AI tutor
0
0 Comments
Show Answer
More options