GOB Chemistry
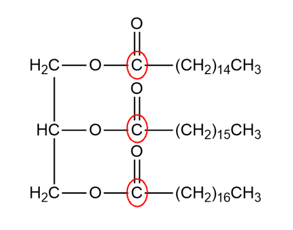
The chirality is determined by the presence of four distinct groups attached to the chiral carbon atom.
The chirality is determined by the presence of a double bond between the oxygen atom and the chiral carbon atom.
The chirality is determined by the presence of an ester linkage between the oxygen atom and the chiral carbon atom.
There is no chiral carbon atom in the given structure. The chirality is determined by the presence of an amino group (-NH2) attached to the chiral carbon atom.