Skip to main content
GOB Chemistry
My Course
Learn
Exam Prep
AI Tutor
Study Guides
Textbook Solutions
Flashcards
Explore
My Course
Learn
Exam Prep
AI Tutor
Study Guides
Textbook Solutions
Flashcards
Explore
Back
Nucleoside and Nucleotide Formation
Download worksheet
Problem 1
Problem 2
Nucleoside and Nucleotide Formation
Download worksheet
Practice
Summary
Previous
2 of 2
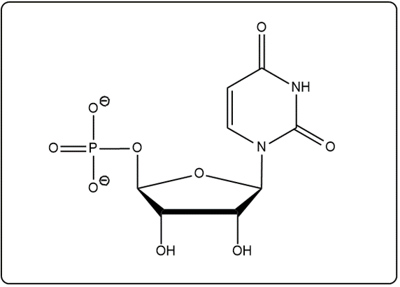
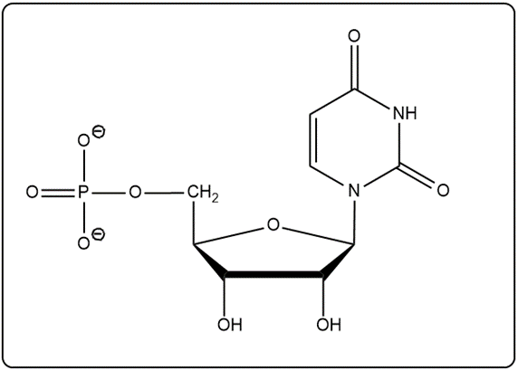
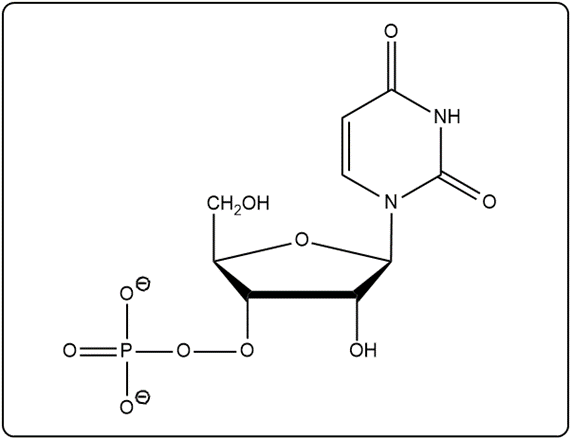
26. Nucleic Acids and Protein Synthesis / Nucleoside and Nucleotide Formation / Problem 2
Problem 2
Provide the structure of the main organic product of the reaction shown below:
A
B
C
D
AI tutor
0
0 Comments
Show Answer
More options