Skip to main content
GOB Chemistry
My Course
Learn
Exam Prep
AI Tutor
Study Guides
Textbook Solutions
Flashcards
Explore
My Course
Learn
Exam Prep
AI Tutor
Study Guides
Textbook Solutions
Flashcards
Explore
Back
Mutarotation
Download worksheet
Problem 1
Problem 2
Mutarotation
Download worksheet
Practice
Summary
1 of 2
Next
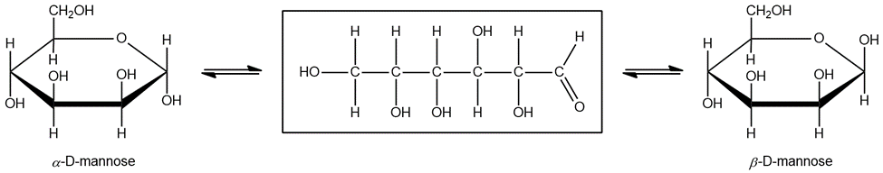
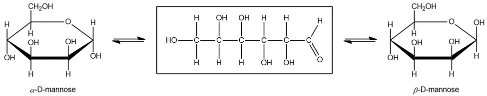
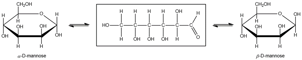
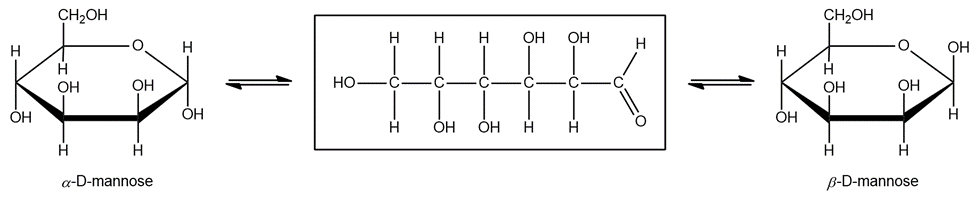
20. Carbohydrates / Mutarotation / Problem 1
Problem 1
Complete the following mutarotation reaction between the two cyclic forms of D-mannose by providing the missing structure.
A
B
C
D
AI tutor
0
0 Comments
Show Answer
More options