Skip to main content
Intro to Redox Reactions
14. Compounds with Oxygen or Sulfur / Intro to Redox Reactions / Problem 3
Problem 3

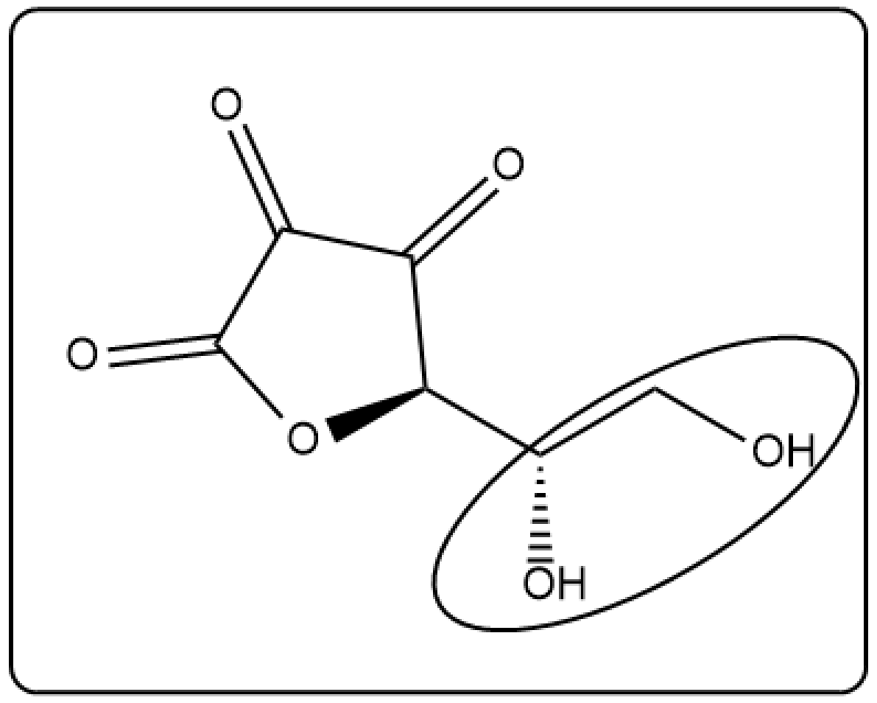
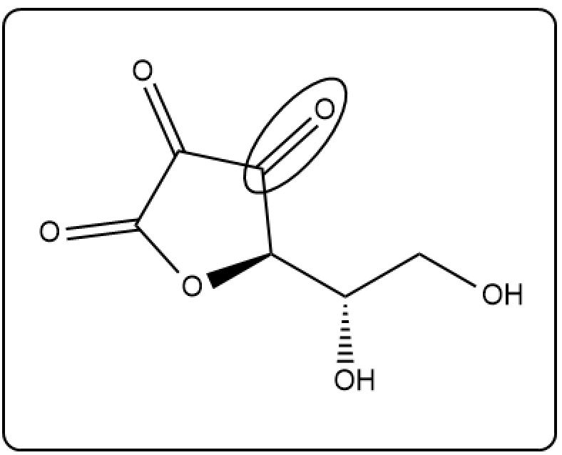
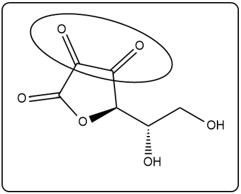
Ascorbic acid, commonly known as vitamin C, is crucial for tissue repair and the enzymatic production of certain neurotransmitters. It is known to degrade over time when exposed to air, a process involving oxidation. One of these reactions is shown below. Circle the groups in the product that were oxidized.
Chemical structure of ascorbic acid and its oxidized form, dehydroascorbic acid.