Skip to main content
GOB Chemistry 2 Final - Part 4 of 4!
SAMPLE
This is a sample practice set. In order to have a more personalized exam prep experience:
or
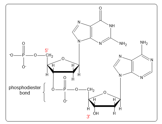
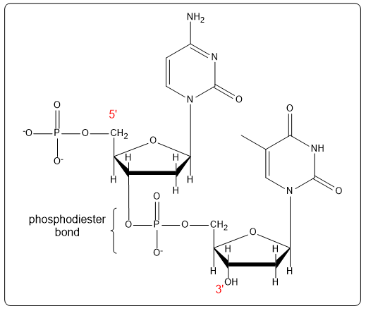
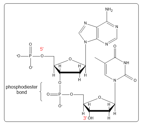
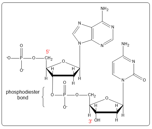
26. Nucleic Acids and Protein Synthesis / Primary Structure of Nucleic Acids / Problem 15
Problem 15

Select the correct structure of the dinucleotide CT found in DNA. Ensure the 5' and 3' ends are labeled, and the phosphodiester bond between cytosine and thymine is correctly identified.