Skip to main content
GOB Chemistry
My Course
Learn
Exam Prep
AI Tutor
Study Guides
Textbook Solutions
Flashcards
Explore
My Course
Learn
Exam Prep
AI Tutor
Study Guides
Textbook Solutions
Flashcards
Explore
Back
GOB Chemistry 2 Final - Part 3 of 4!
Download worksheet
Problem 1
Problem 2
Problem 3
Problem 4
Problem 5
Problem 6
Problem 7
Problem 8
Problem 9
Problem 10
Problem 11
Problem 12
Problem 13
Problem 14
Problem 15
Problem 16
Problem 17
Problem 18
Problem 19
Problem 20
Problem 21
Problem 22
GOB Chemistry 2 Final - Part 3 of 4!
Download worksheet
SAMPLE
This is a sample practice set. In order to have a more personalized exam prep experience:
Upload your syllabus
or
add an exam manually
Practice
Summary
Previous
13 of 22
Next
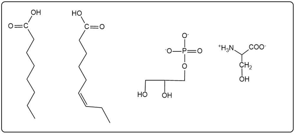
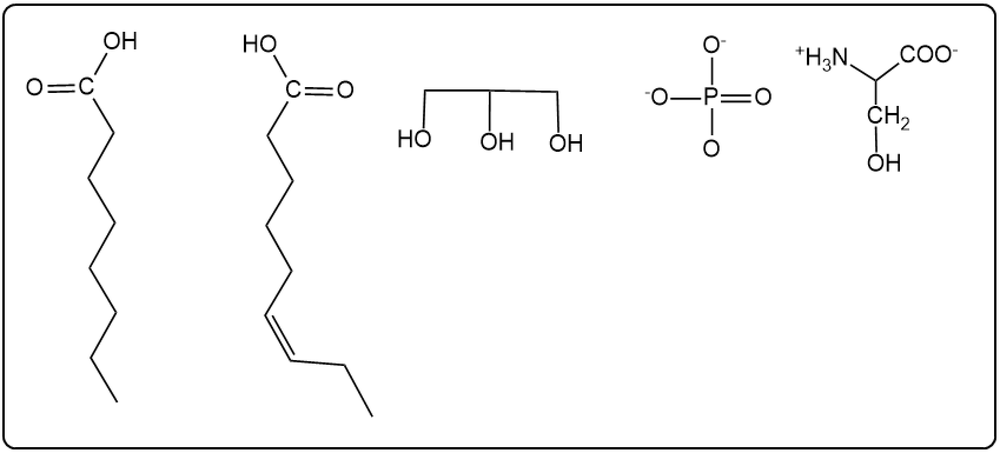
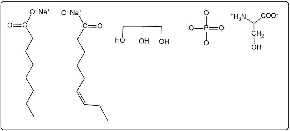
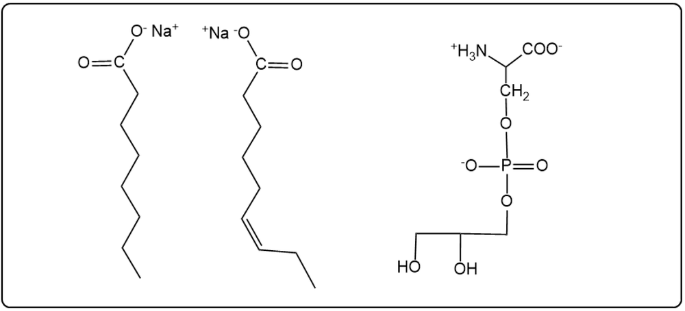
23. Lipids / Glycerophospholipids / Problem 13
Problem 13
Draw the products formed from the base hydrolysis of phosphatidylserine shown below.
A
B
C
D
AI tutor
0
0 Comments
Show Answer
More options