Skip to main content
GOB Chemistry 2 Final - Part 2 of 4!
SAMPLE
This is a sample practice set. In order to have a more personalized exam prep experience:
or
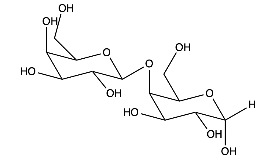
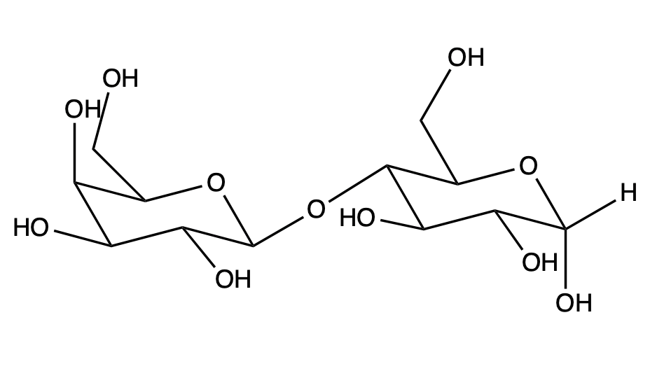
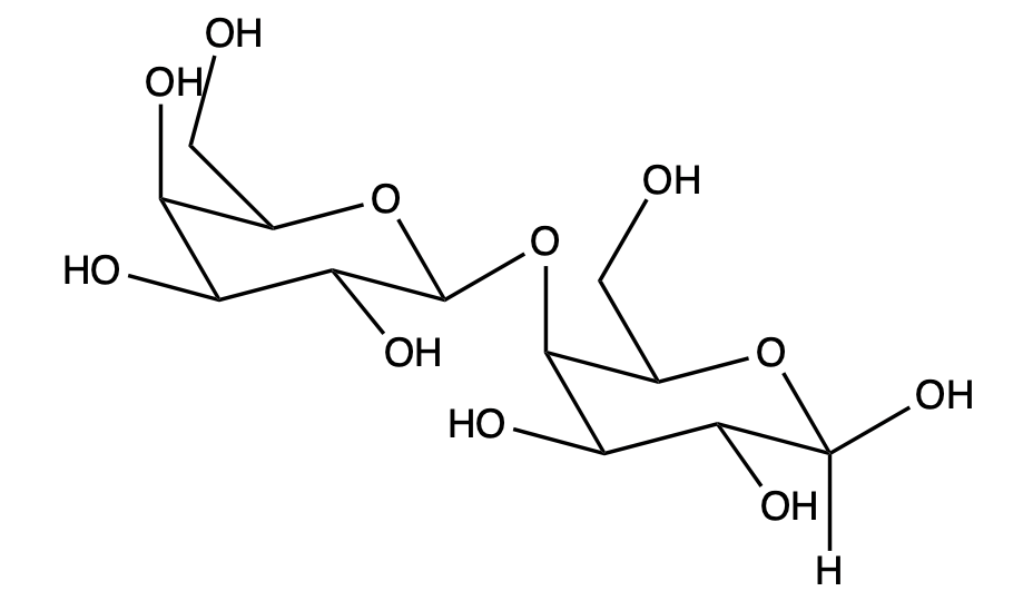
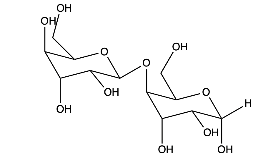
20. Carbohydrates / Disaccharides / Problem 8
Problem 8

Propose the plausible β structure of the disaccharide that contains two cyclic D-galactose sugars that are linked via the β-1,4 glycosidic bond. Explain why this disaccharide is a reducing sugar, while the sugar below is not reducing sugar.
Structures of methyl α-D-talose and methyl β-D-talose.