Skip to main content
Ester Reactions: Saponification
16. Carboxylic Acids and Their Derivatives / Ester Reactions: Saponification / Problem 3
Problem 3

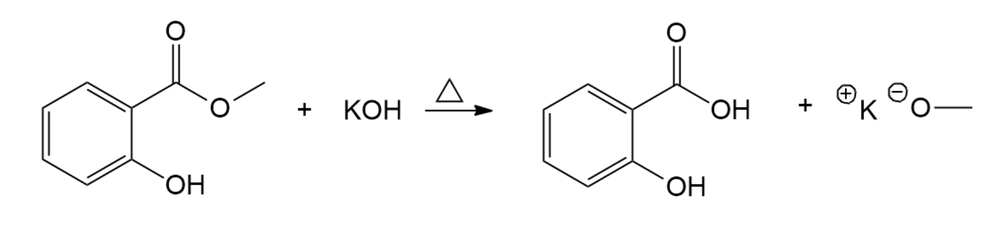
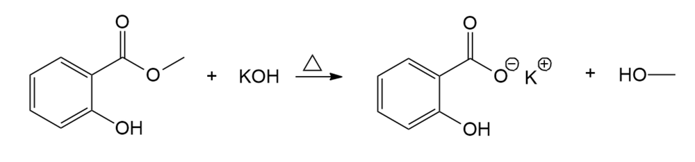
Write a balanced chemical equation for the base-catalyzed hydrolysis (saponification) of methyl salicylate, an ester responsible for the wintergreen scent, with KOH.