Skip to main content
GOB Chemistry
My Course
Learn
Exam Prep
AI Tutor
Study Guides
Textbook Solutions
Flashcards
Explore
My Course
Learn
Exam Prep
AI Tutor
Study Guides
Textbook Solutions
Flashcards
Explore
Back
Ester Reactions: Acid-Catalyzed Hydrolysis
Download worksheet
Problem 1
Problem 2
Problem 3
Problem 4
Ester Reactions: Acid-Catalyzed Hydrolysis
Download worksheet
Practice
Summary
Previous
2 of 4
Next
16. Carboxylic Acids and Their Derivatives / Ester Reactions: Acid-Catalyzed Hydrolysis / Problem 2
Problem 2
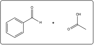
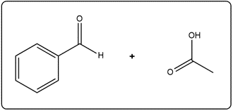
Draw the line-angle structures of the products in the hydrolysis reaction shown below:
A
B
C
D
AI tutor
0
0 Comments
Show Answer
More options