Skip to main content
GOB Chemistry
My Course
Learn
Exam Prep
AI Tutor
Study Guides
Textbook Solutions
Flashcards
Explore
My Course
Learn
Exam Prep
AI Tutor
Study Guides
Textbook Solutions
Flashcards
Explore
Back
Cyclic Structures of Monosaccharides
Download worksheet
Problem 1
Problem 2
Problem 3
Problem 4
Problem 5
Problem 6
Cyclic Structures of Monosaccharides
Download worksheet
Practice
Summary
Previous
6 of 6
20. Carbohydrates / Cyclic Structures of Monosaccharides / Problem 6
Problem 6
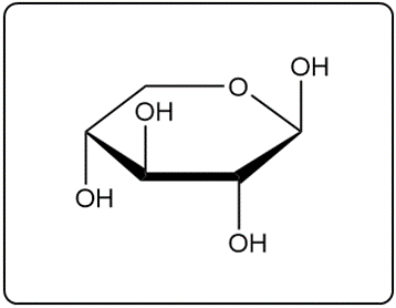
Pentoses most commonly occur as furanose rings. Using the structure of D-xylose shown below, draw the furanose form of ß-D-xylofuranose.
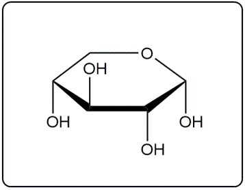
A
B
C
D
AI tutor
0
0 Comments
Show Answer
More options