Skip to main content
GOB Chemistry
My Course
Learn
Exam Prep
AI Tutor
Study Guides
Textbook Solutions
Flashcards
Explore
My Course
Learn
Exam Prep
AI Tutor
Study Guides
Textbook Solutions
Flashcards
Explore
Back
Chirality
Download worksheet
Problem 1
Problem 2
Problem 3
Problem 4
Problem 5
Problem 6
Chirality
Download worksheet
Practice
Summary
Previous
5 of 6
Next
13. Alkenes, Alkynes, and Aromatic Compounds / Chirality / Problem 5
Problem 5
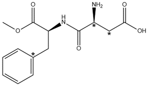
Determine whether any chiral centers are present in the compound below. Label the chiral centers with an asterisk (*), if applicable:
A
B
C
D
The compound does not contain any chiral center.
AI tutor
0
0 Comments
Show Answer
More options