Skip to main content
GOB Chemistry
My Course
Learn
Exam Prep
AI Tutor
Study Guides
Textbook Solutions
Flashcards
Explore
My Course
Learn
Exam Prep
AI Tutor
Study Guides
Textbook Solutions
Flashcards
Explore
Back
Carboxylic Acid Reactions
Download worksheet
Problem 1
Problem 2
Problem 3
Problem 4
Problem 5
Carboxylic Acid Reactions
Download worksheet
Practice
Summary
Previous
5 of 5
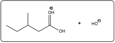
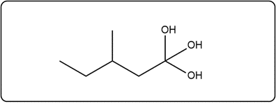
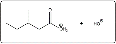
16. Carboxylic Acids and Their Derivatives / Carboxylic Acid Reactions / Problem 5
Problem 5
Provide line-angle structures of the products formed in the reaction below:
A
B
C
D
AI tutor
0
0 Comments
Show Answer
More options