Skip to main content
GOB Chemistry
My Course
Learn
Exam Prep
AI Tutor
Study Guides
Textbook Solutions
Flashcards
Explore
My Course
Learn
Exam Prep
AI Tutor
Study Guides
Textbook Solutions
Flashcards
Explore
Back
Amide Hydrolysis
Download worksheet
Problem 1
Problem 2
Problem 3
Problem 4
Problem 5
Problem 6
Amide Hydrolysis
Download worksheet
Practice
Summary
Previous
5 of 6
Next
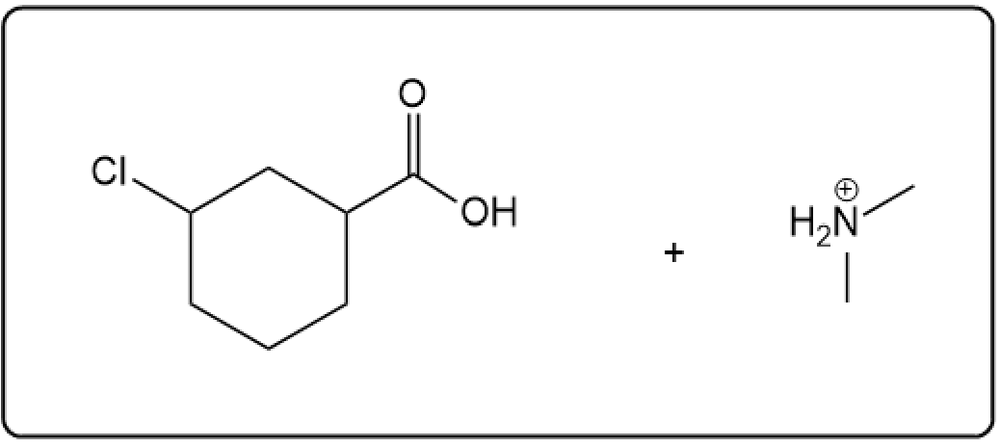
16. Carboxylic Acids and Their Derivatives / Amide Hydrolysis / Problem 5
Problem 5
What are the expected products of the hydrolysis of the amide below with NaOH?
A
B
C
D
AI tutor
0
0 Comments
Show Answer
More options