Skip to main content
GOB Chemistry
My Course
Learn
Exam Prep
AI Tutor
Study Guides
Textbook Solutions
Flashcards
Explore
My Course
Learn
Exam Prep
AI Tutor
Study Guides
Textbook Solutions
Flashcards
Explore
Back
Amide Formation
Download worksheet
Problem 1
Problem 2
Problem 3
Problem 4
Amide Formation
Download worksheet
Practice
Summary
Previous
4 of 4
16. Carboxylic Acids and Their Derivatives / Amide Formation / Problem 4
Problem 4
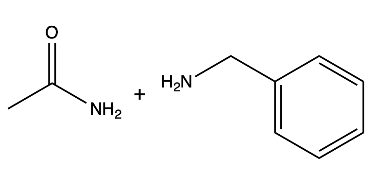
Draw plausible structures of the products in the given reaction.
A
B
C
D
AI tutor
0
0 Comments
Show Answer
More options