Skip to main content
GOB Chemistry
My Course
Learn
Exam Prep
AI Tutor
Study Guides
Textbook Solutions
Flashcards
Explore
My Course
Learn
Exam Prep
AI Tutor
Study Guides
Textbook Solutions
Flashcards
Explore
Back
23. Lipids - Part 2 of 2!
Download worksheet
Problem 1
Problem 2
Problem 3
Problem 4
Problem 5
Problem 6
Problem 7
Problem 8
Problem 9
Problem 10
Problem 11
Problem 12
23. Lipids - Part 2 of 2!
Download worksheet
Practice
Summary
Previous
4 of 12
Next
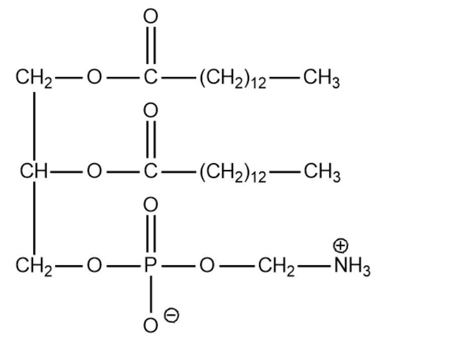
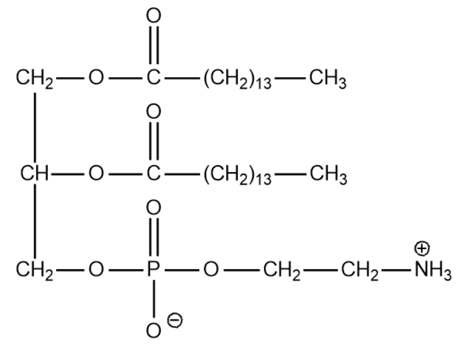
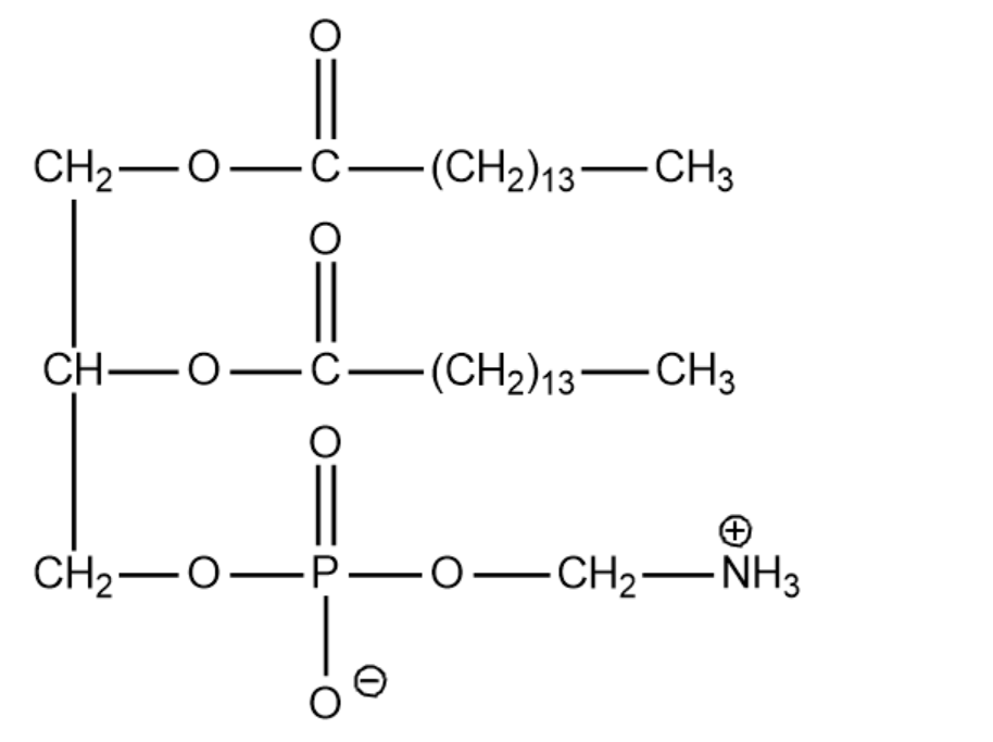
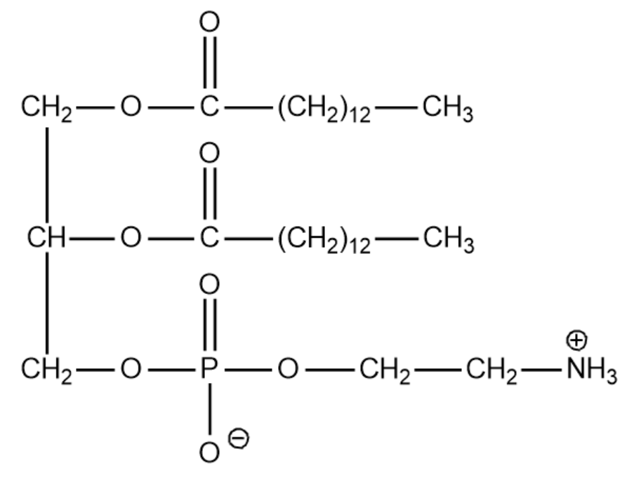
23. Lipids / Glycerophospholipids / Problem 4
Problem 4
Cephalin is also known as phosphatidylethanolamine. Provide the condensed structural formula of a cephalin containing the following components: glycerol, two myristic acids, a phosphate group, and ionized ethanolamine.
A
B
C
D
AI tutor
0
0 Comments
Show Answer
More options