
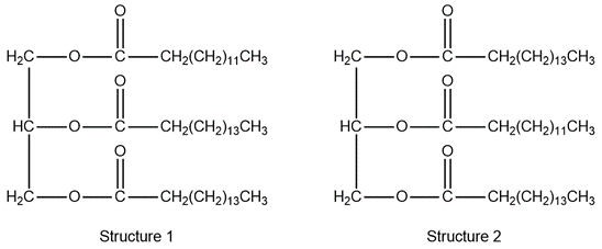
In the first structure, the myristic acid forms an ester bond with the first hydroxyl group of glycerol forming an achiral molecule. In the second structure, the myristic acid forms an ester bond with the second hydroxyl group forming a symmetrical and chiral molecule.