Skip to main content
20. Carbohydrates - Part 3 of 3!
20. Carbohydrates / Disaccharides / Problem 8
Problem 8

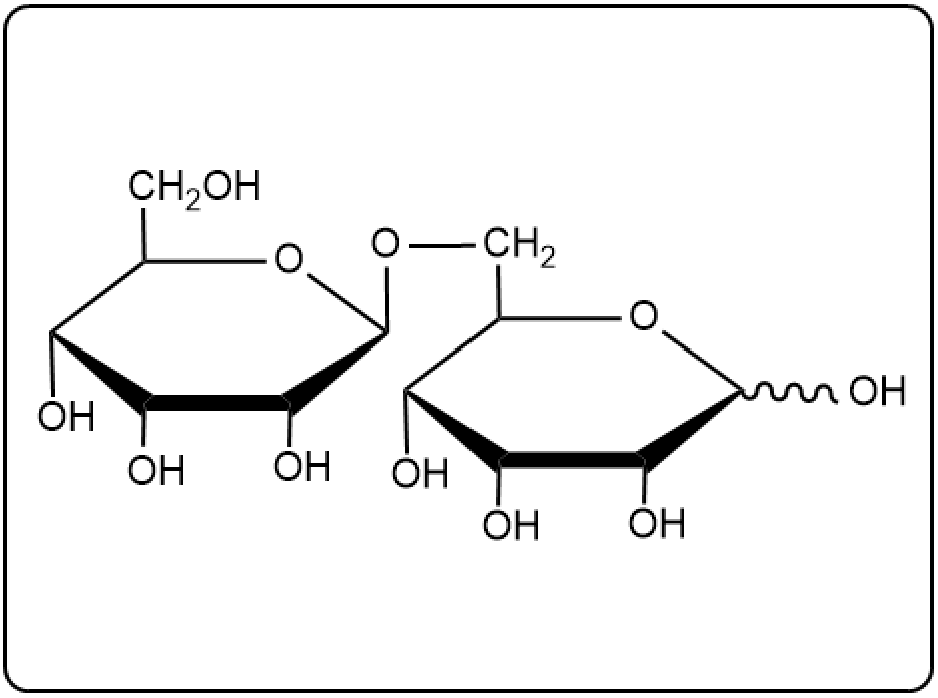
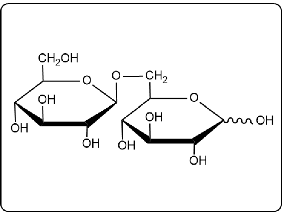
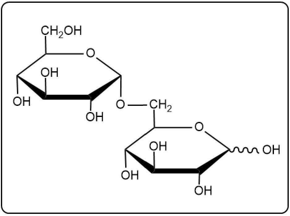
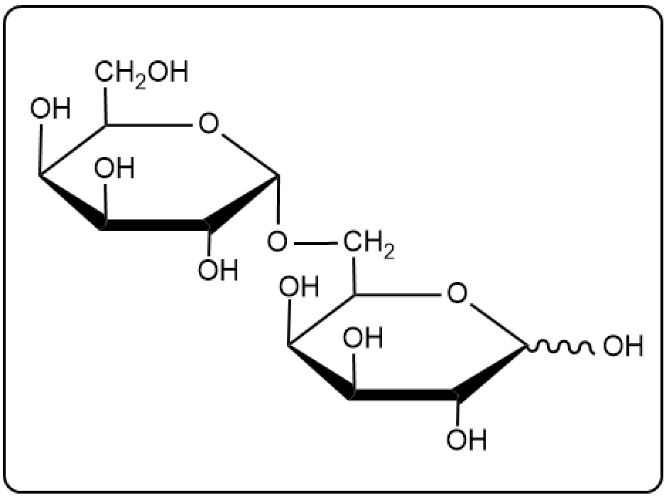
Gentobiose is a disaccharide produced as an undesirable byproduct in the starch hydrolysis process in glucose syrup production. It has a bitter taste and is made up of two glucose units connected by β(1→6) linkages. Draw the structure of gentobiose and determine whether it is a reducing or non-reducing sugar.