Skip to main content
GOB Chemistry
My Course
Learn
Exam Prep
AI Tutor
Study Guides
Textbook Solutions
Flashcards
Explore
My Course
Learn
Exam Prep
AI Tutor
Study Guides
Textbook Solutions
Flashcards
Explore
Back
18. Amino Acids and Proteins - Part 2 of 2!
Download worksheet
Problem 1
Problem 2
Problem 3
Problem 4
Problem 5
Problem 6
Problem 7
Problem 8
Problem 9
Problem 10
Problem 11
Problem 12
Problem 13
18. Amino Acids and Proteins - Part 2 of 2!
Download worksheet
Practice
Summary
Previous
3 of 13
Next
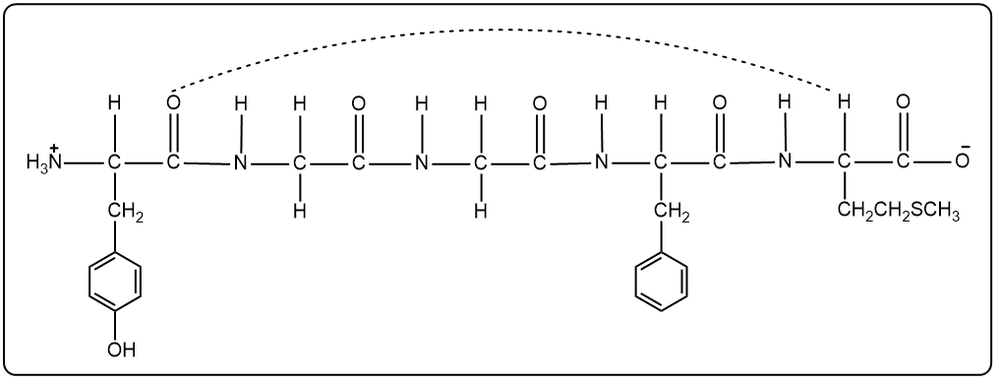
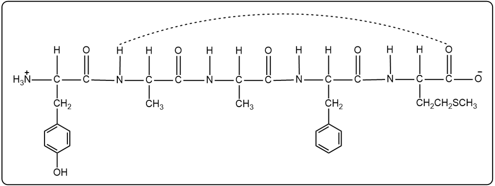
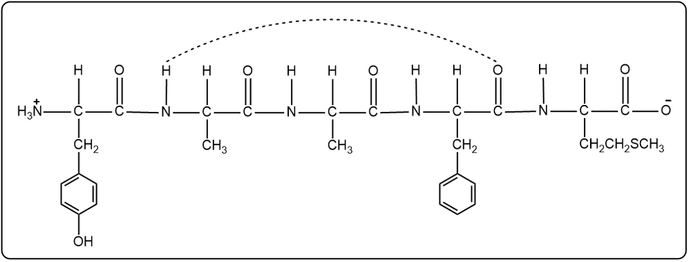
18. Amino Acids and Proteins / Secondary Protein Structure / Problem 3
Problem 3
Sketch the structural formula of the pentapeptide Tyr-Gly-Gly-Phe-Met in linear form and show the hydrogen bonding that stabilizes the structure if it forms an α-helix.
A
B
C
D
AI tutor
0
0 Comments
Show Answer
More options