Skip to main content
GOB Chemistry
My Course
Learn
Exam Prep
AI Tutor
Study Guides
Textbook Solutions
Flashcards
Explore
My Course
Learn
Exam Prep
AI Tutor
Study Guides
Textbook Solutions
Flashcards
Explore
Back
18. Amino Acids and Proteins - Part 1 of 2!
Download worksheet
Problem 1
Problem 2
Problem 3
Problem 4
Problem 5
Problem 6
Problem 7
Problem 8
Problem 9
Problem 10
Problem 11
Problem 12
Problem 13
18. Amino Acids and Proteins - Part 1 of 2!
Download worksheet
Practice
Summary
Previous
11 of 13
Next
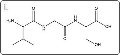
18. Amino Acids and Proteins / Peptides / Problem 11
Problem 11
i. Provide the line-angle structure for valylglycylserine.
ii. Give its three-letter abbreviation.
iii. Give its one-letter abbreviation.
(Ignore stereochemistry)
A
ii. Vln-Gly-Srn
iii. AGS
B
ii. Val-Gly-Srn
iii. AGS
C
ii. Vln-Gly-Ser
iii. VGS
D
ii. Val-Gly-Ser
iii. VGS
AI tutor
0
0 Comments
Show Answer
More options