Skip to main content
GOB Chemistry
My Course
Learn
Exam Prep
AI Tutor
Study Guides
Textbook Solutions
Flashcards
Explore
My Course
Learn
Exam Prep
AI Tutor
Study Guides
Textbook Solutions
Flashcards
Explore
Back
16. Carboxylic Acids and Their Derivatives - Part 2 of 2!
Download worksheet
Problem 1
Problem 2
Problem 3
Problem 4
Problem 5
Problem 6
Problem 7
Problem 8
16. Carboxylic Acids and Their Derivatives - Part 2 of 2!
Download worksheet
Practice
Summary
Previous
8 of 8
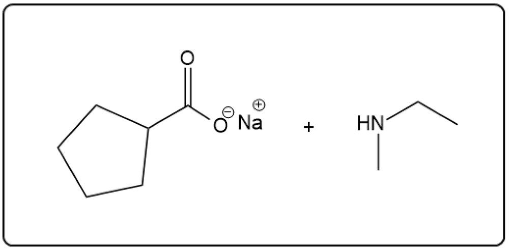
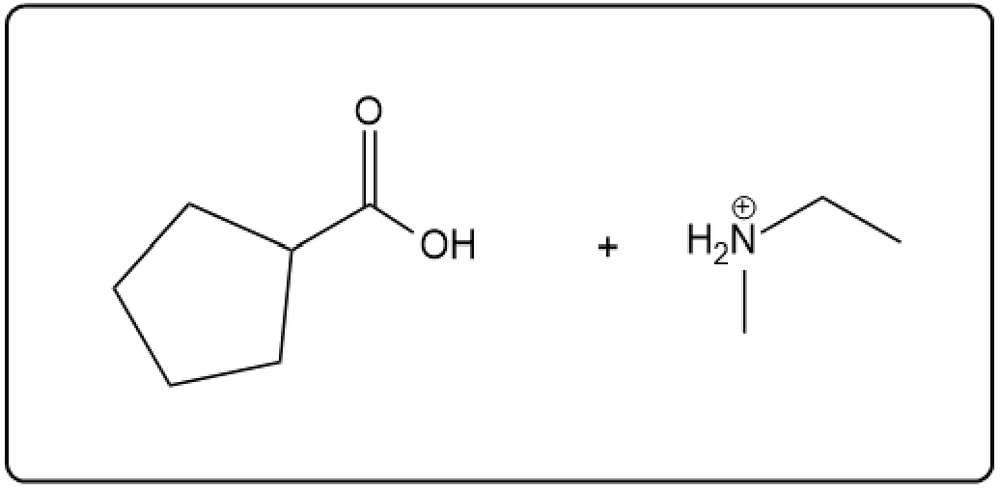
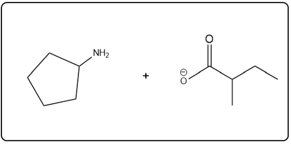
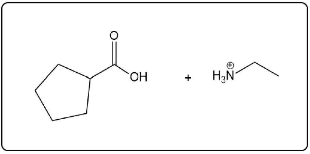
16. Carboxylic Acids and Their Derivatives / Amide Hydrolysis / Problem 8
Problem 8
Draw the structure of the compounds produced when the amide shown below is hydrolyzed with NaOH.
A
B
C
D
AI tutor
0
0 Comments
Show Answer
More options