Skip to main content
12. Introduction to Organic Chemistry - Part 1 of 2!
12. Introduction to Organic Chemistry / Skeletal Formula / Problem 8
Problem 8

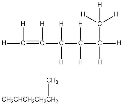
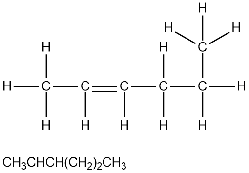
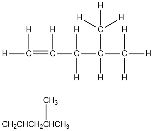
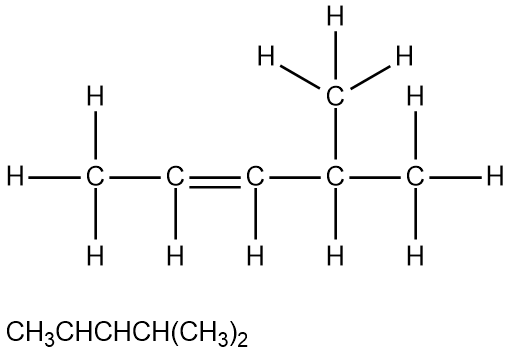
The structures of organic compounds can be represented using Lewis structures, condensed structural formulas, and skeletal formulas. The compound given below is illustrated using one of the mentioned structural representations. Draw the compound using the other two representations. Note: For the condensed structural formula, represent the parent chain using the condensed formula, and show the bonds for the branches, if applicable.
Skeletal formula of an organic compound with branches.