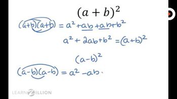
0. Review of Algebra
Factoring Polynomials
0. Review of Algebra
Factoring Polynomials
Showing 20 of 20 videos
Practice this topic
- Multiple Choice
Factor out the Greatest Common Factor in the polynomial.
45views - Multiple Choice
Factor out the Greatest Common Factor in the polynomial.
19views - Multiple Choice
Factor the polynomial by grouping
14views - Multiple Choice
Factor the polynomial by grouping.
10views - Textbook QuestionIn Exercises 1–22, factor each difference of two squares. Assume that any variable exponents represent whole numbers.x² - 49views
- Textbook Question
Factor out the greatest common factor.
5views - Textbook QuestionIn Exercises 1–68, factor completely, or state that the polynomial is prime. x³ − 16x2views
- Textbook Question
In Exercises 1–10, factor out the greatest common factor. 3x2+6x
4views





